Arogya Sanjeevani Policy, Star Health and Allied Insurance Co Ltd.

The Arogya Sanjeevani Policy is an affordable and comprehensive health insurance plan designed to cover essential medical expenses. This policy offers coverage for hospitalisation, daycare procedures, and pre-and post-hospitalisation costs. It also includes benefits for AYUSH treatments, modern treatments, and cataract surgery. With flexible sum insured options ranging from ₹50,000 to ₹10,00,000, the policy caters to individuals and families alike. Moreover, it provides a cumulative bonus for each claim-free year, enhancing the overall value. The Arogya Sanjeevani Policy ensures financial protection and peace of mind, making quality healthcare accessible to a wide range of people.

... Read More

By providing my details, I consent to receive assistance from Star Health regarding my purchases and services through any valid communication channel.

IRDAI UIN:SHAHLIP26045V042526

HIGHLIGHTS

Plan Essentials

essentials

Affordable Policy

Insurance Regulator drafted affordable Health Insurance policy with economical premium suitable for entire India.
essentials

Policy Type

This policy can be availed either on an Individual or Floater basis.
essentials

Entry Age

Any person aged between 18 and 65 years can avail this policy. Under the Floater basis, a maximum of up to three economically dependent children aged between 3 months and 25 years are covered.
essentials

Flexible Policy

People aged between 18 and 65 years can avail this policy on an Individual or Floater basis. A family can be self, spouse, dependent children (between 3 months and 25 years) and parents.
essentials

Day Care Procedures

Medical treatments and surgical procedures that require less than 24 hours of hospitalisation due to technological advancements are covered.
essentials

AYUSH Treatment

Expenses incurred for the treatment under Ayurveda, Unani, Siddha and Homeopathy systems of medicines in AYUSH hospitals are covered upto the Sum Insured.
essentials

Modern Treatment

Expenses incurred for modern treatments such as Oral Chemotherapy, Intra Vitreal injections, Robotic Surgeries, etc. are covered up to 50% of the Sum Insured.
essentials

Cumulative Bonus

Cumulative bonus is provided at 5% of the Sum Insured for each claim-free year subject to a maximum of 50% of the Sum Insured.
DETAILED LIST

Understand what’s included

IMPORTANT HIGHLIGHTS

Policy Term

This policy can be availed for a term of one year.

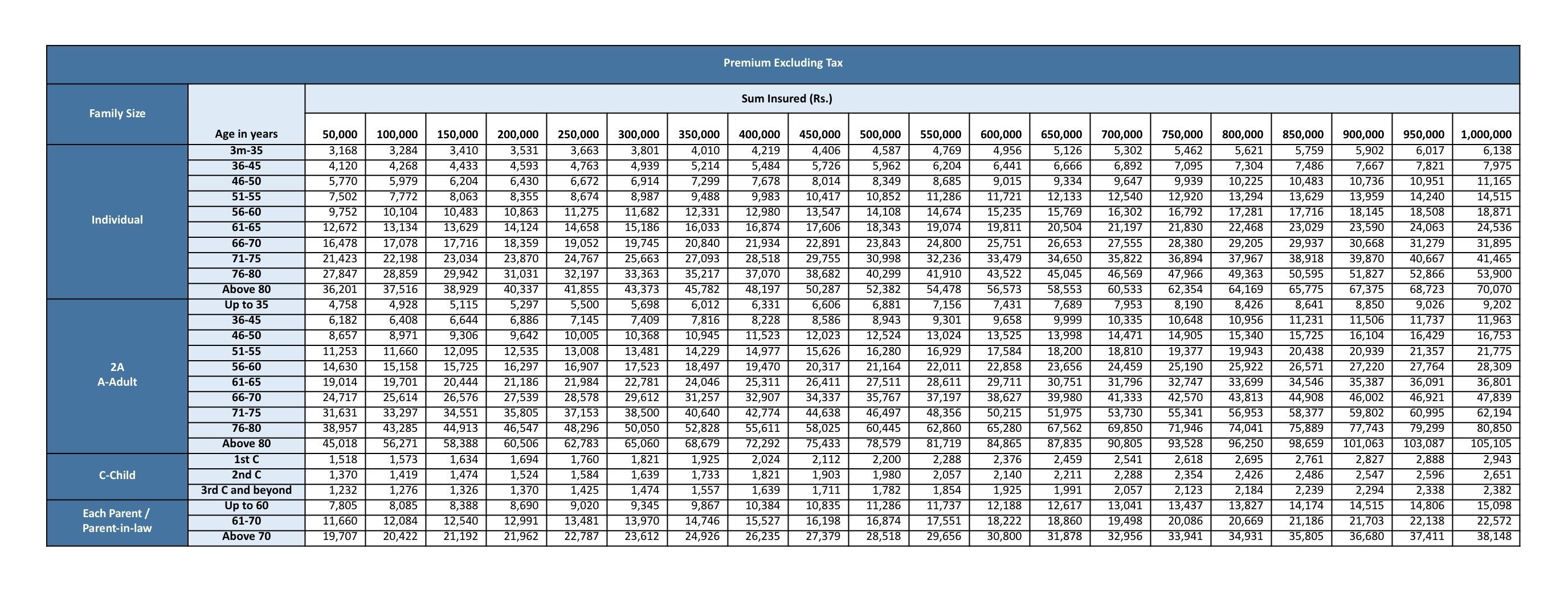
Sum Insured

The policy provides the Sum Insured options ranging from Rs. 50,000/- to Rs. 10,00,000/- (in the multiples of Rs. 50,000/-).

In-Patient Hospitalisation

Hospitalisation expenses incurred for a period of more than 24 hours on account of  illness, injury or accidents are covered.

Pre-Hospitalisation

In addition to in-patient hospitalisation, the medical expenses incurred up to 30 days before the date of admission to the hospital are also covered.

Post-Hospitalisation

Post-hospitalisation medical expenses up to 60 days from the date of discharge are covered.

Room Rent

Room, boarding and nursing expenses incurred during in-patient hospitalisation are covered up to 2% of the Sum Insured subject to the maximum of Rs. 5000/- per day.

ICU Charges

ICU charges up to 5% of the Sum Insured are covered subject to the maximum of Rs. 10,000/- per day.

Road Ambulance

Ambulance charges are covered up to Rs. 2000/- per hospitalisation.

Day Care Procedures

Medical treatments and surgical procedures that require less than 24 hours of hospitalisation due to technological advancements are covered.

AYUSH Treatment

Expenses incurred for the treatment under Ayurveda, Yoga and Naturopathy, Unani, Siddha and Homeopathy systems of medicines in AYUSH hospitals are covered up to the limits of the Sum Insured.

Rural Discount

A discount of 10% of the premium is applicable for Insured Persons aged up to 59 years whereas discount of 20% is applicable for Insured Persons aged 60 years and above.

Lifelong Renewal

The policy provides lifelong renewal option.

Cumulative Bonus

Cumulative bonus is provided at 5% of the Sum Insured for each claim-free year subject to a maximum of 50% of the Sum Insured.

Co-payment

Each and every claim under the Policy shall be subject to a Copayment of 5% applicable to claim amount admissible and payable as per the terms and conditions of the Policy.

Cataract Treatment

Expenses incurred for Cataract treatment are covered up to 25% of the Sum Insured or Rs. 40,000/- whichever is less per eye in one policy year.

Instalment Options

This policy premium can be paid on a quarterly or half-yearly basis. It can also be paid annually.
Please refer to the Policy Documents to know the policy details and Terms & Conditions.
STAR HEALTH

Why Choose Star Health Insurance?

As a Health Insurance specialist, we extend our services from offering tailor-made products to fast in-house claim settlements. With our growing network of hospitals, we ensure easy access to fulfill your medical needs.

star-health
Wellness Program
Take part in our wellness programs and earn rewards for staying healthy. Redeem those rewards to avail renewal discounts.
star-health
Diagnostic Centres
Get access to 1,635 diagnostic centres across India with home pickup of lab samples and health checkups at your doorstep.
star-health
E-Pharmacy
Order medicines online at a discounted price. Home delivery and store pick-ups are available across 2780 cities.

Looking for something else?

GET STARTED

Be Assured of the Best

Get your future secured with us.

Want more information
Want more information?
Ready to get your policy
Ready to get your policy?

Arogya Sanjeevani Policy, Star Health and Allied Insurance Co Ltd.

 

Although we know the importance of staying healthy and safe, health insurance plans are often at the bottom of our priority list. We are frequently asked about the significance of health insurance. “Does it serve its purpose?” “Why should I get one when I am healthy?” “Can I spend this premium on something more worthwhile?” While these are very valid questions, if there is anything that 2020 has taught us, unpredictability can lurk in corners unknown to us.

 

Medical treatment is expensive, especially in the private sector. Purchasing health insurance coverage for yourself and your family is essential. And as we know, hospitalisation might drain your bank account and throw your finances off course. We would recommend that you obtain a health insurance policy for yourself and your family so that you can mitigate the cost of any medical emergencies.

 

The Arogya Sanjeevani Policy is introduced by the Insurance Regulatory and Development Authority of India (IRDAI). The policy has been developed to cater the needs of those who are looking for complete coverage at an affordable price. While medical costs have been rising for decades and are expected to keep increasing, purchasing the Arogya Sanjeevani Health Insurance Policy might help the insured stay financially secure in the face of medical emergencies.

 

Arogya Sanjeevani Policy is an indemnity-based health insurance policy offering coverage up to Rs. 10 lakhs on an individual and floater basis for in-patient hospitalisation expenses, daycare treatments/procedures, AYUSH treatment, and more.

 

Arogya Sanjeevani Health Insurance Policy allows you to opt for a family floater plan that covers yourself, your spouse, and dependent children aged 3 months to 25 years. Additionally, you can buy this plan for parents and parents-in-law.

 

Coverage under the Arogya Sanjeevani Policy includes:

 

  • In-patient hospitalisation expenses
  • Pre- and post-hospitalisation expenses
  • Cataract treatment
  • AYUSH treatment
  • Daycare treatments
  • Ambulance expenses
  • Modern treatments
  • ICU/ ICCU expenses
  • Telemedicine Service (talk to Star)

Product Features of the Arogya Sanjeevani Health Insurance Policy

How to buy this policy?

 

Buying an Arogya Sanjeevani policy online is very simple:

 

  • Step 1: Visit the Star Health website or mobile app and find the Arogya Sanjeevani Policy. Provide your name, mobile number and e-mail address. 
  • Step 2: Enter a few key details, the number of people you want to take the policy for (if buying for a family), birth date, and policy term.
  • Step 3: Upon sharing this information, you will get a final quote on your premium for the sum insured opted for, and you can proceed with the payment. Now, you will have the policy in just a few minutes in your inbox.

 

Renewing your policy is even simpler. Just sign in with your registered mobile number (or policy details), confirm your details, and make the payment. There you go!

FAQ's

Disclaimer:
Health Insurance Coverage for pre-existing medical conditions is subject to underwriting review and may involve additional requirements, loadings, or exclusions. Please disclose your medical history in the proposal form for a personalised assessment. 
The information provided on this page is for general informational purposes only. Availability and terms of health insurance plans may vary based on geographic location and other factors. Consult a licensed insurance agent or professional for specific advice. T&C Apply. For further detailed information or inquiries, feel free to reach out via email at marketing.d2c@starhealth.in